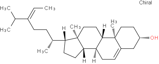
| 英文名称 | FUCOSTEROL |
|---|---|
| 中文名称 | 岩皂甾醇 |
| 中文别名 | 5,24(28)-Stigmastadien-3β-醇, 3β-羟基-5,24(28)-stigmastadiene |
| CAS号 | 17605-67-3 |
| 分子式 | C29H48O |
| 分子量 | 412.69 |
| 外观 | 白色粉末 |
| MDL | MFCD00037543 |
| 熔点 | 124 °C |
| 沸点 | 220-230 °C |
| 储存条件 | 2-8°C |
分子式:
C29H48O
分子量:
412.69
外观:白色粉末
| 英文名称 | FUCOSTEROL |
|---|---|
| 中文名称 | 岩皂甾醇 |
| 中文别名 | 5,24(28)-Stigmastadien-3β-醇, 3β-羟基-5,24(28)-stigmastadiene |
| CAS号 | 17605-67-3 |
| 分子式 | C29H48O |
| 分子量 | 412.69 |
| 外观 | 白色粉末 |
| MDL | MFCD00037543 |
| 熔点 | 124 °C |
| 沸点 | 220-230 °C |
| 储存条件 | 2-8°C |
| 中文别名 | 5,24(28)-Stigmastadien-3β-醇, 3β-羟基-5,24(28)-stigmastadiene |
|---|---|
| CAS号 | 17605-67-3 |
| 分子式 | C29H48O |
| 分子量 | 412.69 |
| 外观 | 白色粉末 |
| MDL | MFCD00037543 |
| 熔点 | 124 °C |
| 沸点 | 220-230 °C |
| 水溶解性 | 微溶 |
| 存储要求 | 2-8°C |
| Smiles | C[C@@]12[C@@]([H])([C@H](C)CC/C(=C\C)/C(C)C)CC[C@@]1([H])[C@]1([H])CC=C3C[C@H](CC[C@]3(C)[C@@]1([H])CC2)O |
| InchiKey | OSELKOCHBMDKEJ-JUGJNGJRSA-N |