| 英文名称 | Amphotericin B |
|---|---|
| 中文名称 | 两性霉素B |
| 中文别名 | 多烯抗生素、可溶性两性霉素 B |
| CAS号 | 1397-89-3 |
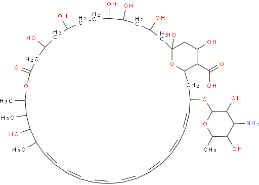
| 分子式 | C47H73NO17 |
| 分子量 | 924.08 |
| 外观 | yellow powder |
| MDL | MFCD00877763 |
| 熔点 | 170 ºC(lit.) |
| 沸点 | 1140.4 °C(lit.) |
| 储存条件 | 2-8°C, protect from light, stored under nitrogen |
分子式:
C47H73NO17
分子量:
924.08
外观:yellow powder
| 英文名称 | Amphotericin B |
|---|---|
| 中文名称 | 两性霉素B |
| 中文别名 | 多烯抗生素、可溶性两性霉素 B |
| CAS号 | 1397-89-3 |
| 分子式 | C47H73NO17 |
| 分子量 | 924.08 |
| 外观 | yellow powder |
| MDL | MFCD00877763 |
| 熔点 | 170 ºC(lit.) |
| 沸点 | 1140.4 °C(lit.) |
| 储存条件 | 2-8°C, protect from light, stored under nitrogen |
| 标识符号 |
|
|---|---|
| 化学稳定性 | Stable, but may be light sensitive. Incompatible with strong oxidizing agents. |
| 安全说明 | S26;S36/37/39;S45 |
| 危险类别码 | R36/37/38;R22;R40;R23/24/25 |
| 中文别名 | 多烯抗生素、可溶性两性霉素 B |
|---|---|
| CAS号 | 1397-89-3 |
| 分子式 | C47H73NO17 |
| 分子量 | 924.08 |
| 外观 | yellow powder |
| MDL | MFCD00877763 |
| 熔点 | 170 ºC(lit.) |
| 沸点 | 1140.4 °C(lit.) |
| 化学稳定性 | Stable, but may be light sensitive. Incompatible with strong oxidizing agents. |
| 安全说明 | S26;S36/37/39;S45 |
| 危险类别码 | R36/37/38;R22;R40;R23/24/25 |
| 水溶解性 | less than 1 mg/mL |
| 特性 | * |
| 用途 | 抗霉菌多烯,通过靶向固醇破坏真菌细胞膜的通透性。 |
| 运输要求 | 冰袋运输 |
| 存储要求 | 2-8°C, protect from light, stored under nitrogen |
| Smiles | CC1C(O)C(C)C(C)OC(=O)CC(O)CC(O)CCC(O)C(O)CC(O)CC2(O)OC(C(C(O)=O)C(O)C2)CC(OC2OC(C)C(O)C(N)C2O)C=CC=CC=CC=CC=CC=CC=C1 |
| InchiKey | APKFDSVGJQXUKY-UHFFFAOYSA-N |