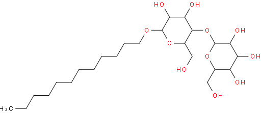
十二烷基-β-D-麦芽糖苷
n-Dodecyl-beta-D-maltoside
韵邦
产品编号:
CAS No.:
品牌:
外观:
分子式:
分子量:
选择规格
250mg 1g 5g 25g
产品库存
充足
目录价格
¥90.00
会员价格
产品库存
充足
目录价格
¥250.00
会员价格
产品库存
充足
目录价格
¥900.00
会员价格
产品库存
充足
目录价格
¥3390.00
会员价格
选择数量
- +
基本信息
中文名称十二烷基-β-D-麦芽糖苷
英文名称 n-Dodecyl-beta-D-maltoside
中文别名十二烷基-beta-D-麦芽糖苷、 月桂基-β-D-麦芽糖苷
CAS号69227-93-6
分子式C24H46O11
分子量510.62
外观white powder
MDLMFCD00043012
熔点224-226 °C(lit.)
沸点703.5±60.0 °C(lit.)
储存条件Inert atmosphere,Store in freezer, under -20°C
安全信息
标识符号
化学稳定性稳定,但要冷藏,与强氧化剂不相容。
安全说明S24/25;S36/37/39
危险类别码R36/37/38
相关产品
抱歉,暂时没有相关产品
浏览记录
4-硝基苯-Α-D-葡吡喃糖苷
十二烷基-β-D-麦芽糖苷
MEM 培养基,含 Earle 平衡盐和 L-谷氨酰胺
HAT培养基补充物 (50×)™
卵清蛋白(OVA Peptide 257-264)
丙烯酸 N-羟基琥珀酰亚胺酯
乙二胺四乙酸二钾盐二水合物
DL-甘油醛晶体
维生素 E 琥珀酸酯
1-丁基-3-甲基咪唑硫酸辛酯